殊途同歸:OptiStruct 熱應力分析的對標實踐

技術中心

Technology

技術中心

所有分類
殊途同歸:OptiStruct 熱應力分析的對標實踐
Nov.28,2025

【 前言 】

作者:聯發科技 陳昱儒 技術副理

       在處理非線性熱應變分析中,熱膨脹係數(CTE)的正確處理是此分析的關鍵,針對瞬態(ICTE)與割線(SCTE)在模擬中的差異,且須同時考量材料零應變的參考溫度與全域模型的參考溫度,若未進行修正換算,將導致分析誤差。

       透過在 OptiStruct 中啟用 CTE 修正功能,其室溫翹曲分析結果與 Ansys 幾乎一致,位移差異僅約 0.2%,結果驗證 OptiStruct 具備可靠的熱應力分析能力,可作為提供可靠的設計趨勢參考與決策依據。

熱膨脹係數(CTE)的處理

       熱應力分析的準確性高度依賴於對材料熱膨脹行為的精確描述,尤其是在非線性熱應變的情境下。
當熱應變為非線性時,有兩種主要方式描述CTE:

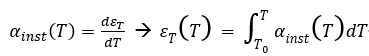
•瞬態CTE (Instantaneous CTE, ICTE):定義為熱應變-溫度曲線在某個溫度點上的切線斜率。


 

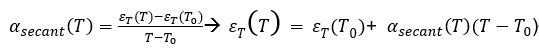
•割線CTE (Secant CTE, SCTE):定義為在兩個溫度點(例如 T0 和 T)之間的平均 CTE。


 

割線(secant) CTE與瞬態(instantaneous) CTE轉換式


 

圖1 溫度應變曲線圖

圖1 溫度應變曲線圖

 

【 參考溫度的影響(Tref vs Tini)】

       在晶片封裝等工業應用中,需考量材料零應變的參考溫度與全域模型的參考溫度。

• 材料零應變參考溫度(Tref):指材料參數中定義零應變的參考溫度。

• 全域模型參考溫度(Tini):指全域模型中定義零應變的參考溫度。

       當 Tref 與  Tini  不相等時,若直接使用基於 T ini  的 CTE 數據來計算從 T ini  開始的熱應變,將會導致結果失真。因此,必須引入一個修正公式來對割線 CTE 進行換算。

 

 

       Ansys 與 OptiStruct 的技術手冊中均提供了處理雙參考溫度問題的 CTE 修正公式。此公式能夠根據已知的基於T ref 的 CTE 數據,推導出在任意溫度 T 下、以 T ini 為初始點的有效割線 CTE。

 

 

  • Ansys 修正公式:

 

  •  OptiStruct 修正公式:


 

Optistruct CTE 設定

  1. 定義材料:在材料卡片中定義溫度相依的非線性參數(楊氏模量和 CTE 曲線),並指定材料參考溫度 Tref

  2. 定義負載:在 Load Step 中設定模型的全域環境初始參考溫度 Tini

  3. 啟用修正:在求解器設定卡片中,找到 PARAM 參數,並將 THMLSTN 設為 1。此設定會指示求解器在Tref Tini 時啟用 CTE 修正公式。


     

    圖2 Optistruct CTE設定流程圖

    圖2  Optistruct CTE設定流程圖


     

    分析結果比較

    室溫分析:
    在室溫條件下,OptiStruct 的計算結果與 Ansys 高度吻合,位移差異僅約 0.2%,顯示其在應用了正確的 CTE 修正後,具備了高準確性。

    高溫分析:
    在高溫條件下,雖然數值上存在約 11.8% 的差異,但兩者所預測的翹曲變形趨勢是相似的。


     

    圖3 室溫翹曲分析結果比較圖
    圖3 室溫翹曲分析結果比較圖


    圖4 高溫翹曲分析結果比較圖
    圖4 高溫翹曲分析結果比較圖
     

    總結

    修正公式的重要性:
           為了精確模擬 
    Tref Tini 不一致的熱應力問題,必須使用割線 CTE 的修正公式。這是確保物理假設貼近真實情境的關鍵。

    OptiStruct 的能力驗證:
           OptiStruct 透過啟用此修正公式的功能,使其能夠處理複雜的熱應力分析。

    結果比較:
           OptiStruct 在室溫翹曲分析中展現了與 Ansys 高度吻合的結果;在高溫下,雖然數值有差異,但變形趨勢相似。這證明 OptiStruct 是一款具備熱應力分析能力且可行的替代工具。


     

瑞其科技是"CAE與AI數據分析的專家",我們完成了許多成功的案例實績

▶ 現在就 聯絡我們,取得更多資訊。
▶ 訂閱 瑞其Youtube頻道,探索更多CAE與數據分析。

服務諮詢

軟體試用

公司簡介 最新消息 聯絡我們

若同意本網站之隱私權政策,請點選「CONFIRM」,若繼續閱覽本網站內容,即表示您同意我們使用 cookies 分析技術,更多資訊請瀏覽 隱私權聲明

CONFIRM